kas tai?
nikotinamido ribozido chlorido milteliai(NRC) yra natūralus junginys, priklausantis nikotinamido adenino dinukleotido (NAD+) pirmtakų klasei. Tai yra vitamino B3 darinys ir struktūriškai yra susijęs su niacinu (nikotino rūgštimi) ir nikotinamidu. NRC pėdsakai paprastai randami įvairiuose maisto šaltiniuose, tokiuose kaip pienas, mielės ir tam tikros daržovės.

Kilmės ir išgavimo procesas
Pagrindinis komercinis nikotinamido ribosido chlorido šaltinis yra ekstrahavimas iš natūralių šaltinių. Paprastai jis išgaunamas iš konkrečios augalinės medžiagos, pavyzdžiui, tam tikrų mielių ar bakterijų štamų. Šie mikroorganizmai yra kultivuojami kontroliuojamomis sąlygomis, siekiant maksimaliai padidinti NRC gamybą.
Ištraukimo procesas paprastai apima šiuos veiksmus:
Auginimas:Atrinkti mikroorganizmai auginami tinkamoje maistinėje terpėje, leidžiančioje jiems daugintis ir gaminti NRC.
Fermentacija:Kultivuojami mikroorganizmai vyksta fermentacijos metu, kurios metu jie metabolizuoja specifines medžiagas, kad susidarytų NRC.
Derliaus nuėmimas: NRC turtinga biomasė surenkama iš fermentacijos sultinio filtruojant arba centrifuguojant.
Valymas:Neapdorotas ekstraktas yra gryninamas, kad būtų išskirtas ir sukoncentruotas NRC. Tai gali apimti tokius metodus kaip chromatografija arba kristalizacija.
Konvertavimas į chlorido druską:Galiausiai išgrynintas NRC paverčiamas chlorido druskos forma, todėl susidaro nikotinamido ribosido chloridas.
C. Grynumas ir sudėtis
Aukštos kokybės nikotinamido ribosido chlorido grynumo lygis paprastai yra 99% arba didesnis. Pagrindinė NRC veiklioji medžiaga yra nikotinamido ribosidas (NR), kuris sudaro didžiąją dalį jo sudėties. NR yra unikali vitamino B3 forma, kuri sulaukė didelio dėmesio dėl galimos naudos sveikatai.
Be NR, NRC gali turėti nedidelių priemaišų ir kitų junginių, natūraliai esančių ekstrahavimo šaltinyje, pėdsakų. Tačiau griežti valymo procesai užtikrina, kad šios priemaišos būtų kuo mažesnės, kad atitiktų aukštus grynumo standartus, reikalingus įvairioms reikmėms.
Savybės ir charakteristikos
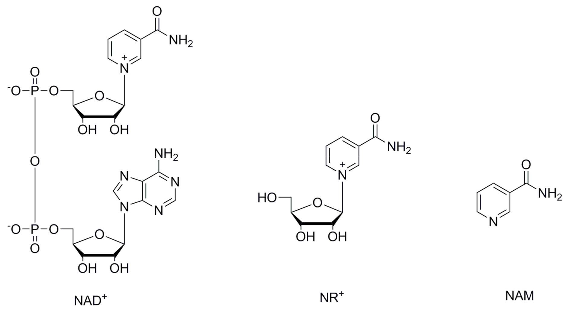
A. Cheminė sudėtis Nikotinamido ribosido chlorido milteliair(NRC) turi aiškiai apibrėžtą cheminę sudėtį, kuri prisideda prie jo biologinio aktyvumo ir funkcinių savybių. Pagrindinė NRC veiklioji medžiaga yra nikotinamido ribosidas (NR), kuris yra nikotinamido adenino dinukleotido (NAD+), esminio kofermento, dalyvaujančio įvairiuose medžiagų apykaitos procesuose, pirmtakas.
Cheminė NR struktūra susideda iš nikotinamido bazės, susietos su ribozės cukraus molekule. Ši unikali struktūra leidžia NR tarnauti kaip stiprus NAD+ pirmtakas, prisidedantis prie jo vaidmens ląstelių energijos metabolizme, DNR atstatyme ir kitose fiziologinėse funkcijose. NR chlorido druskos forma užtikrina stabilumą ir padidina jos tinkamumą įvairioms reikmėms.
Be NR, cheminė NRC sudėtis gali apimti neorganinių chlorido jonų pėdsakus, susidarančius dėl konversijos proceso. Šie jonai reikšmingai nekeičia pagrindinių NR savybių, tačiau gali turėti įtakos NRC formavimui ir suderinamumui įvairiose srityse.

B. Fizinės savybės
Išvaizda: Nikotinamido ribosido chloridas paprastai yra smulkūs kristaliniai milteliai nuo baltos iki beveik baltos spalvos. Ši būdinga išvaizda palengvina jo įtraukimą į įvairias formas, įskaitant kapsules, tabletes ir miltelių pavidalo papildus.
Tirpumas: NRC gerai tirpsta vandenyje, todėl lengvai pasiskirsto ir absorbuojamas vandeninėse sistemose. Šis tirpumo profilis yra naudingas ruošiant skystus maisto papildus ir farmacinius preparatus.
Kvapas ir skonis: Grynas NRC paprastai yra bekvapis ir švelnaus, šiek tiek saldaus skonio, todėl tinkamas naudoti geriamosiose vaisto formose, nesuteikiant nepageidaujamų jutiminių savybių.
C. Stabilumas ir galiojimo laikas
Terminis stabilumas: Nikotinamido ribosido chloridas įprastomis laikymo sąlygomis pasižymi geru terminiu stabilumu. Jai įtakos nedaro nedideli temperatūros svyravimai, o tai būtina norint išlaikyti vientisumą gamybos, sandėliavimo ir platinimo metu.
Jautrumas šviesai: NRC yra gana stabilus, kai yra veikiamas aplinkos šviesos, nors ilgalaikis intensyvios ultravioletinės spinduliuotės poveikis gali šiek tiek pablogėti. Tinkama pakavimo ir laikymo praktika padeda apsaugoti NRC nuo šviesos sukelto gedimo.
Tinkamumo laikas: Laikant rekomenduojamomis sąlygomis, NRC išlaiko savo kokybę ir stiprumą ilgą laiką. Tipiškas tinkamai laikomų NRC produktų tinkamumo laikas svyruoja nuo dvejų iki trejų metų, užtikrinant ilgalaikį komercinio naudojimo gyvybingumą.
Taikymas įvairiose pramonės šakose
A. Farmacijos pramonė

Senėjimą stabdantis ir priešvėžinis poveikis:Nikotinamido ribosido chlorido milteliaigalimas senėjimą stabdantis ir priešvėžinis poveikis paskatino atlikti išsamius tyrimus farmacijos pramonėje. Tyrimai parodė, kad NRC papildymas gali pagerinti mitochondrijų funkciją, DNR atstatymą ir ląstelių metabolizmą, taip padidindamas ląstelių atsparumą ir ilgaamžiškumą. Be to, NRC parodė priešvėžinį aktyvumą slopindamas naviko ląstelių augimą ir skatindamas ląstelių mirtį.
Metabolinių sutrikimų gydymas: NRC gebėjimas padidinti NAD+ lygį pasirodė esąs perspektyvus gydant medžiagų apykaitos sutrikimus, tokius kaip nutukimas, 2 tipo diabetas ir nealkoholinė riebiųjų kepenų liga. Stiprindamas ląstelių metabolizmą, NRC papildymas gali pagerinti gliukozės homeostazę, jautrumą insulinui ir lipidų apykaitą.
B. Maisto ir gėrimų pramonė
Maistiniai produktai ir funkcinis maistas: dėl galimos NRC naudos sveikatai jis buvo įtrauktas į įvairius maistinius ir funkcinius maisto produktus. NRC papildymas gali pagerinti energijos apykaitą, pažinimo funkciją ir bendrą gerovę. Be to, NRC antioksidacinės savybės gali padėti sumažinti oksidacinį stresą ir uždegimą, susijusį su senėjimu ir lėtinėmis ligomis.
Natūralus maisto priedas: NRC švelnus skonis ir geras tirpumas daro jį universaliu natūraliu maisto priedu. Jis gali būti dedamas į įvairias maisto ir gėrimų formas, įskaitant sportinius gėrimus, energijos batonėlius ir maisto papildus.
C. Kosmetikos ir asmens priežiūros pramonė

Odos ir plaukų priežiūros produktai: NRC galimas senėjimą stabdantis poveikis paskatino jį naudoti įvairiose odos ir plaukų priežiūros priemonėse. NRC papildai gali pagerinti odos elastingumą, sumažinti raukšles ir smulkias linijas bei skatinti sveikų plaukų augimą.
Senėjimą stabdantis ir apsauga nuo saulės: NRC antioksidacinės savybės daro jį perspektyviu senėjimą stabdančių ir apsaugos nuo saulės produktų ingredientu. NRC papildai gali padėti sumažinti oksidacinę žalą, kurią sukelia UV spinduliuotė ir aplinkos teršalai, taip prisidedant prie sveikesnės ir jaunatviškesnės odos.
D. Kiti pramoniniai tikslai Dėl unikalių NRC savybių ir savybių jis tinka įvairiems pramoniniams tikslams. Pavyzdžiui, dėl NRC tirpumo ir stabilumo įvairiuose tirpikliuose jis yra naudingas elementas baterijų ir saulės elementų gamyboje. Be to, galimas NRC priešuždegiminis poveikis paskatino jo taikymo veterinarinėje medicinoje, gydant gyvūnų uždegimines ligas, tyrimus.
mūsų pranašumai


Pakavimas Ir Siuntimas

Jei norite įsigyti aukštos kokybėsnikotinamido ribozido chlorido milteliainedvejodami susisiekite su mumis adresuSales@Kintaibio.Comarba atsiliepimai kitame puslapyje. Whatsapp:+86 133 4743 6038 Svetainės žiniatinklis:www.kintai-bio.com | http://en.kintaibio.com
Populiarus Žymos: nikotinamido ribozido chlorido milteliai, Kinijos nikotinamido ribozido chlorido miltelių gamintojai, tiekėjai, gamykla








